O que é Planta de forro?
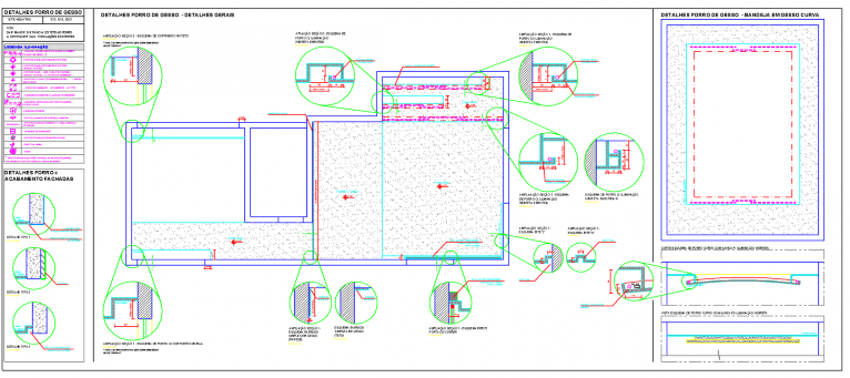
A Planta de Forro tem por objetivo indicar todos os elementos necessários no forro de determinado ambiente tais como: sancas, tabicas, pontos de iluminação instalações a ser embutidas, corticeiros de gesso dentre outros elementos.
A elaboração da planta de forro é importante para que seja realizado o detalhamento dos elementos nela inseridos, sendo inclusive considerada um projeto que complementa o projeto de iluminação.

Desse modo, a elaboração da planta de forro possui relevância significativa para a representação dos detalhes referentes a iluminação e para que o projeto de Design de Interiores seja corretamente executado.
Nesse sentido, é importante que Arquitetos e Designers de Interiores entendam o que é qual a importância da elaboração da planta de forro, compreendendo mais a respeito dos tipos de forro existentes, bem como algumas orientações que auxiliem a sua elaboração.
Como este Artigo está estruturado
- Qual a importância da elaboração de uma planta de forro?
- Quais são os tipos de forros que existem?
- Como elaborar uma planta de forro?
Qual a importância da elaboração da planta de forro?
Antes de saber mais sobre a importância de desenvolver uma planta de forro, é importante entender primeiro o conceito de forro.
O forro consiste em um material responsável pelo revestimento do teto promovendo o isolamento térmico e acústico entre a laje e o piso. Além do mais, o forro também possibilita o desenvolvimento de diversos efeitos de iluminação para o ambiente, o que contribui para a estética e para o seu conforto.

A Planta de forro é responsável pela representação do forro, devendo indicar os elementos que fazem parte dele.
Nesse sentido, a planta do forro auxilia a impedir erros e dispensa a necessidade de refazer atividades durante a execução do projeto. Desse modo, quanto mais detalhamentos ela apresentar, mais ágil será a instalação do forro e de seus elementos, contribuindo para a finalização da obra.
Um fator importante a ser considerado durante a elaboração e execução de projetos arquitetônicos é a observação as normas técnicas que os orientam.
Existem diversas normas técnicas especificas a serem observadas durante a elaboração e execução de projetos arquitetônicos. Algumas delas são:
- NBR 13532, que trata sobre a elaboração de projetos de edificações;
- NBR 6492, referente a Representação de projetos de arquitetura;
- NBR 15575, referente ao Desempenho de Edificações Habitacionais;
- NBR 9050, que trata sobre a Acessibilidade em projetos de arquitetura;
- NBR 16280, referente a Reformas em Edificações;
- Dentre outras.
Diante de tudo isso, é importante que Arquitetos e Designers de Interiores saibam que a realização da planta de forro é uma das etapas mais importantes para o detalhamento de um projeto arquitetônico, entendendo que sua elaboração deve ocorrer de maneira conjunta a outros projetos complementares, a fim de que se torne possível a execução da obra conforme o que está no projeto.
Quais são os tipos de forros que existem?
Geralmente, os diversos tipos de forros que existem são classificados segundo o material com os quais eles são feitos. Além disso, eles também podem ter diversos formatos: lisos, rebaixados, inclinados etc.
Tipos de forros de acordo com seu formato
O primeiro tipo de forro de acordo com o formato é o forro liso, este cobre todo o espaço igualmente, funcionando quando o pé direito é alto e o ambiente é pequeno.

Desse modo, ele acaba por atribuir maior conforto para o ambiente sem necessitar de informações demasiadas.
O forro rebaixado tem por funcionalidade principal trazer destaque para alguns moveis específicos ou ainda delimitar ambientes.

O forro recortado por sua vez, pode destacar partes dos espaços almejados através de alguns recortes e diferenças em suas alturas.

Tipos de forros por materiais
O forro de gesso é um dos tipos mais conhecidos e utilizados em projetos e obras, sendo famoso pela solução de rebaixamento do gesso no teto, que atribuem estética e valorizam os espaços aliados ao uso adequado da iluminação.
Os forros de gesso podem se dividir em duas alternativas: o gesso tradicional e o gesso acartonado (Drywall).
O gesso tradicional é feito a partir de placas moldadas de gesso encaixadas uma ao lado da outra e fixadas por uma estrutura que pode ser de arame.
O processo de instalação do forro de gesso tradicional é considerado complexo e acaba por criar bastante sujeira. Sua utilização é recomendada em todos os tipos ambientes, devendo ele receber tratamento para ser empregado em áreas molhadas como nos banheiros.

Já o gesso acartonado também conhecido como drywall, consiste em placas de gesso fixadas em estruturas de perfis metálicos.
As placas do drywall são muito utilizadas em ambientes comerciais e residenciais e tem como vantagens o fato de possuírem um bom custo-benefício, instalação simples e bom isolamento térmico e acústico.

O segundo tipo é o forro de PVC, que é instalado através do uso de encaixes das placas entre si. Este tipo de forro pode ser utilizado tanto em ambientes secos como molhados, devido a sua alta resistência à umidade.

Porém, graças a suas propriedades não possuem um bom isolamento térmico e acústico.
O terceiro tipo de forro é o de madeira, podendo estes serem instalados dos mais diversos modos, uma das mais usadas é a fixação de tabuas em vigas, sendo estas posicionadas em madeiras que ficam aparentes.

É uma excelente opção do ponto de vista estético, pois atribui beleza e aconchego aos ambientes ao mesmo tempo que possui a capacidade de valorizar os espaços.
Sua utilização não é recomendada em ambientes molhados como banheiros e cozinhas. Além disso, também não possuem boa resistência ao fogo e calor em caso de incêndios.
O quarto tipo de forro é o de cimento aparente que é utilizado quando se deseja atribuir rusticidade a aparência do ambiente. é considerado uma opção acessível de baixo custo e que possui resistência a umidade, o que permite seu uso em áreas molhadas.

Uma de suas desvantagens é a alta absorção de luz que pode ocasionar ambientes escuros e demandar um uso maior de iluminação artificial.
O quinto tipo de forro é o modular, sendo este disponibilizado no mercado em placas que são instaladas em estruturas metálicas que ficam suspensas na laje. Este tipo, facilita a manutenção, são fáceis de instalar e possuem vastas possibilidades de acabamento.

O sexto tipo são os forros de fibra mineral, que são produzidos a partir de rochas minerais. Por esta razão resistem a temperaturas intensas e possuem um excelente isolamento acústico.
Este tipo de forro pode ser usado nos mais diversos tipos de ambiente, sendo comumente observado nos ambientes corporativos.

O forro de fibra mineral tem como benefício principal a atribuição de conforto térmico e acústico aos espaços. Apesar disso, não possuem boa resistência a umidade.
Além de todos estes tipos de forro também temos o forro de isopor, também conhecido como forro EPS. Este tipo é aconselhável para projetos que tem como prioridade o conforto térmico e a minimização de ruídos.

O forro EPS é um tipo frequentemente empregado nos mais diversos projetos, devido a facilidade na instalação, limpeza e durabilidade. Porém, não possui boa resistência a incêndios.
Fatores a considerar durante a aplicação dos diversos tipos de forros
Para garantir que o forro tenha um acabamento adequado, é importante se atentar a alguns fatores que podem influenciar a instalação e preparação dos espaços.
O primeiro deles é o orçamento, é fundamental definir um orçamento para cada etapa da obra, devendo ser destinado um investimento financeiro para a instalação do forro. Saber selecionar o tipo adequado de acordo com o valor disponível é um fator benéfico para a obra como um todo.

A mão de obra que atuará na instalação do forro é mais um aspecto primordial durante a execução do projeto. Saber escolher os profissionais mais capacitados ocasionará um acabamento de maior qualidade.

Observar as características do forro ponderando qual o material mais adequado para cada tipo de ambiente é fundamental. Dessa forma, devem ser consideradas as necessidades individuais de cada ambiente.

Para escolher o tipo adequado de forro a ser instalado no ambiente, é necessário aliar a qualidade com a estética almejada de acordo com o estilo arquitetônico em questão, devendo este fator ser observado durante a escolha.

E por fim também é fundamental avaliar como será a instalação e manutenção do tipo de forro escolhido a fim de evitar problemas futuros.

Como elaborar uma planta de forro?
Agora que conhecemos os principais tipos de forros utilizados, podemos entender como deve ser a elaboração da planta de forro mais adequada para o projeto arquitetônico ou de interiores.
O processo de elaboração da planta de um forro é semelhante ao de criação da planta baixa, a diferença é bem simples, ao invés de olharmos o projeto de cima para baixo como ocorre em plantas baixas, para a planta de forro precisamos visualizá-la de baixo para cima.

Tal como uma planta baixa e outros desenhos técnico presentes em projetos de arquitetura, a planta de forro pode ser realizada nos mais diversos tipos de softwares de desenho arquitetônico como o Autocad e Revit ou outros softwares que utilizem a metodologia BIM.

É valido lembrar que cada planta de forro possuirá seu detalhamento próprio que dependerá do tipo de forro que será usado e das necessidades inerentes a cada tipo de projeto.

Ao fazer a planta de forro é fundamental ainda, considerar a posição das luminárias. Para isso é importante que a planta de forro seja elaborada em conjunto com o projeto luminotécnico, visando garantir que as medidas e as posição estejam em conformidade.

De um modo geral, ao elaborar plantas de forro são necessárias constar as seguintes informações:
- Tipo de forro escolhido;
- Detalhamentos referentes a sancas ou rasgos (iluminação, cortineiro de gesso ou outros);
- Detalhamentos das tabicas ou outros elementospretendidos, sendo importante constar suas ampliações e cotas;
- Cotas gerais da planta;
- Indicações de dilatação;
- Presença do nível do forro;
- Elevação ou rebaixo;
- Dentre outros.
Conclusão
Ao longo desse artigo foi possível entender o que é e a importância da elaboração da planta de forro, compreendendo os principais tipos existentes, bem como as principais etapas para elaborá-lo.
A finalidade deste artigo é auxiliar o entendimento a respeito da elaboração da planta de forro, bem como dar orientações básicas para sua concepção.
Contudo é indispensável uma pesquisa mais aprofundada, buscando consultar normas e materiais específicos a ele relacionados, sendo fundamental observar as principais necessidades de acordo com o tipo de projeto almejado.
Se você quer saber mais a respeito da elaboração de planta de forro e outros elementos presentes em projetos de arquitetura e interiores, a Projetou disponibiliza diversos cursos voltados para esta temática.
Estes cursos abordarão questões referentes a elaboração de projetos de arquitetura e de interiores, ensinando você a dominar softwares que executam desenhos técnicos de maneira rápida, fácil e intuitiva.
Dessa forma, você se tornará um profissional especialista no assunto, sendo capaz de elaborar projetos arquitetônicos e de interiores completos que trarão produtividade, economia e praticidade a obra.

















